DMAによる動的粘弾性測定により低温~高温にかけての状態評価が可能です
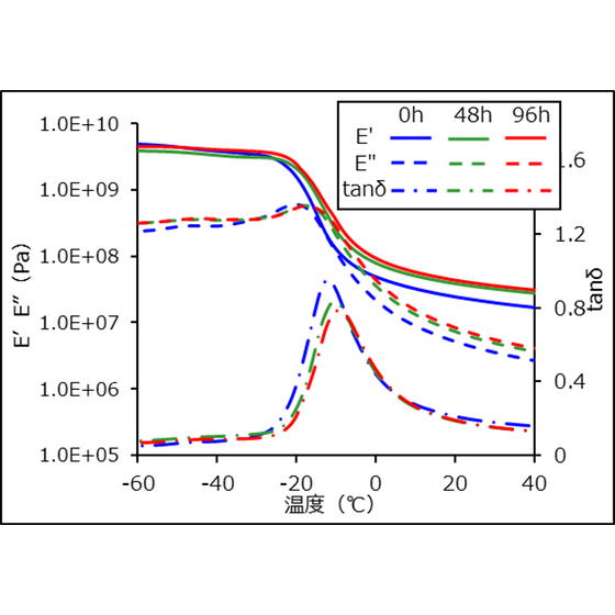
動的粘弾性測定による熱劣化ゴムの評価を紹介します。 熱劣化試験に適した装置として槽内空気を循環させることのできる恒温槽を 使用し、NBRゴム、EPDMゴムを100℃にて所定時間加熱。加熱時間による 粘弾性挙動の変化を調べました。 どちらのゴムも加熱時間が長くなるに従いtanδ(=E"/E')はピークが 高温側にシフトし、ピーク値が減少する様子が見られました。ゴム弾性が 失われ弾性率が低下した結果、Tgが高温側にシフトしたと考えられます。 動的粘弾性の測定により材料劣化に伴う物性変化の確認と、構造変化の推定の 手掛かりを得ることが可能になります。また、他の化学分析を行えばより 具体的な化学構造変化を明らかにすることも可能です。 【試験概要】 ■槽内空気を循環させることのできる恒温槽を使用 ■NBRゴム、EPDMゴムを100℃にて所定時間加熱 ■加熱時間による粘弾性挙動の変化を調査 ※詳しくはPDFをダウンロードしていただくか、お気軽にお問い合わせください。
この製品へのお問い合わせ
カタログ(7)
カタログをまとめてダウンロードこの製品に関するニュース(1)
企業情報
アイテスは、日本アイ・ビー・エム野洲事業所の品質保証部門を母体として1993年に設立されました。 日本アイ・ビー・エム野洲事業所での最先端電子部品の不良解析・信頼性保証で培った技術力を基盤にして、半導体、ディスプレイ、有機EL、太陽電池、電子部品の開発・製造を支える様々な商品、サービスを国内、海外のお客様へ提供してまいりました。








![みたれぽ[128]スーパーエンプラ+CNT材料で造形してみた!](https://image.mono.ipros.com/public/product/image/209420/IPROS4378099708171461545.jpg?w=280&h=280)

